Electrostatics is the study of stationary electric charges. Electric charge is the charge attached to matter that causes it to produce and experience a magnetic and electric effect. A plastic rod will attract pieces of paper when stroked with fur, and a glass rod will do the same when rubbed with silk, indicating that both rods are electrically charged.
Electrostatics is a branch of physics that deals with the study of electromagnetic phenomena where electric charges are at rest, i.e., where no moving charges exist after a static equilibrium has been established. The electrostatic phenomenon in physics deals with the characteristics of fixed or slowly moving electric charges. Additionally, Coulomb's Law defines this phenomena since it results from the forces that electric charges exert on one another. As a result, understanding electric charge and Coulomb's Law is necessary in order to comprehend the concept of electrostatic.
Electric Charge is the property associated with matter due to which it produces and experiences electrical
and magnetic effects. The excess or deficiency of electrons in a body gives the concept of charge.
The fundamental quality of subatomic particles that enables them to feel a force when exposed to an electromagnetic field is known as electric charge, also
known as charge or electrostatic charge. Electric charges will be either positive or negative. Positive charges are carried by protons, while negative charges
are carried by electrons. An object is considered neutral if its net charge is zero, i.e., neither positive nor negative. The Coulomb is the SI unit of charge.
SI unit of charge : Coulomb(C)
Dimension: ampere × second = [AT] = [M0L0T1I1]
C.G.S unit of charge = electrostatic unit = esu
1 coulomb = 3 × 109 esu of charge
1 Faraday = 96500 C
In this type of particle, numbers of protons are larger than the numbers of electrons.
In this type of particle, electrons are larger in number than that of protons.
Recently a new particle has been discovered called ‘Quark’. It contains charge ± e / 3, ± 2e / 3. [The protons and
neutrons are combination of other entities called quarks, which have charges 1 / 3 e. However, isolated quarks have
not been observed, so, quantum of charge is still e. ]
Ex-1: How many electrons are there in one coulomb of negative charge?
Sol: The negative charge is due to the presence of excess electrons, since they carry
negative charge. Because an electron has a charge whose magnitude is e = 1.6 × 10-19 C, the
number of electrons is equal to the charge q divided by the charge e on each electron. Therefore,
the number n of electrons is
n = q/e = 1/1.6 × 10-19=6.25 × 1018
Charging a body by induction method includes these foue steps:
The charged body loses some of its charge (which is equal to the charge gained by the uncharged
body)
The charge gained by the uncharged body is always lesser than initial charge present on the charged body.
To charge the bodies through friction one of them has to be an insultator.
Conductors are material that allow the easy passage of electric charges. The most common conductors are all metals.
Insulators are substances that restrict the easy movement of electric charges because they possess strongly bonded electrons
that are immobile.The most common examples of insulators are paper and rubber.
The electrostaticforce of interaction between two static point electric charges is directly proportional
to the product of the charges, inversely proportional to the square of the distance between them and
acts along the straight line joining the two charges.
Force of electrostatic interaction depends on the nature of medium between the charges. If two
points charges q1 and q2 separated by a distance r. Let F be the electrostatic force between these two
charges.
According to Coulomb's law:
F = 1 / 4π εo q1q2 / r2
where q1, q2 are magnitude of point charges, r is the distance between them and εo is permittivity of free space.
In examples and problems we will often use the approximate value,
1 / 4πεo = 9 × 109 N-m2/C2
The value of εo is 8.85 × 10-12 C2 / N-mC2.
If there is another medium between the point charges except air or vacuum, then εo is replaced by εoK or εoεr or ε.
where K or εr is called dielectric constant or relative permittivity of the medium.
K = εr = ε / εo
where, ε = permittivity of the medium.
For air or vacuum, K = 1
For water, K = 81
For metals, K = ∞

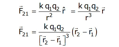
Force on q2 due to q1,

The above equations give the Coulomb’s law in vector form.
Force on q1 due to q2 = – Force on q2 due to q1
F12 = – F21
F12 = Kq1q2 . r1 – r2 / |r1 – r2|3
The forces due to two point charges are parallel to the line joining point charges; such forces are called central forces and electrostatic forces are conservative forces.
The space in the surrounding of any charge in which its influence can be experienced by other charges is called electric field.
An electric field is a field that forms around an electrically charged body and acts as a force field on nearby charged items.
Electric Field is calculated by the term called electric field density. For instance, if you place a positive (+) unit charge close to a positively charged body, a repulsive force will occur. The resulted force will make the unit charge to move away from the body. The imaginary line over which this unit charge will move is termed as the line of forces.
Similarly, if you place a positive (+) unit charge in the field around a negatively charged object, it will experience a force of attraction. The resulted force will compel the unit positive charge to come closer to the negatively charged object. In this case, the line through which the unit charge moves is the line of forces.
Coulomb's law states that the force with which like charges repel each other and opposite charges attract each other is proportional to the product of the charges and inversely proportional to the square of the distance between them.
We show charge with ‘q’ or ‘Q’ and, the smallest unit charges are 1.6021x10⁻¹⁹ Coulomb(C) ie magnitude of charge of electron or proton.An electron and a proton have the same amount of charge.
Electric field lines(Electric Lines of Force) are an imaginary line or curve and a great way of visualizing electric fields. They were first introduced by Michael Faraday.
Properties of Electric Field Lines


The electrostatic force acting per unit positive charge on a point in electric field is called electric field intensity at that point.
Electric field intensity E =

Its SI unit is NC-1 or Vim and its dimension is [MLT-3 A-1].
It is a vector quantity and its direction is in the direction of electrostatic force acting on positive charge.
Electric field intensity due to a point charge q at a distance r is given by
E = 1 / 4π εo q / r2
A force is conservative if work done by or against the force in moving a body depends only
on the initial and final positions of the body and not on the nature of path followed between the initial
and final positions.
Examples of Conservative Forces:
Forces acting along the line joining the centres of two bodies are called central forces. Gravitational
force and Electrosatic forces are two important examples of central forces. Central forces are
conservative forces.
Properties of Conservative Forces:
A force is said to be non-conservative if work done by or against the force in moving a body depends upon the path between the initial and final positions. The frictional forces are non-conservative forces. This is because the work done against friction depends on the length of the path along which a body is moved. It does not depend only on the initial and final positions. Note that the work done by fricitional force in a round trip is not zero. The velocity-dependent forces such as air resistance, viscous force, magnetic force etc., are non conservative forces
Potential energy of a system of particles is defined only in conservative fields. As electric field is also
conservative, we define potential energy in it.
Some important points regarding potential energy in electric fields:
Potential energy of a system of particles we define as the work done in assembling the system in
a given configuration against the interaction forces of particles.
Electrostatic potential energy is defined in two ways.
Electrostatic Interaction Energy
Electrostatic interaction energy of a system of charged particles is defined as the external work
required to assemble the particles from infinity to the given configuration. When some charged
particles are at infinite separation, their potential energy is taken zero as no interaction is there
between them. When these charges are brought close to a given configuration, external work is
required if the force between these particles is repulsive and energy is supplied to the system, hence
final potential energy of system will be positive. If the force between the particle is attractive, work
will be done by the system and final potential energy of system will be negative.
Interaction Energy of a System of Two Charged Particles :
Figure shows two +ve charges q1 and q2 separated by a distance r. The electrostatic interaction energy of this system can be given as work
done in bringing q2 from infinity to the given separation from q1. If can be calculated as
Electric potential is a scalar property of every point in the region of electric field. At a point in electric
field, electric potential is defined as the interaction energy of a unit positive charge.
Electric potential at any point is equal to the work done per positive charge in carrying it from infinity to that point in electric field.
Similarly we can define electric potential as "work done in
bringing a unit positive charge from infinity to the given point against the electric forces."
Electric potential, V = W / q
Its SI unit is J / C or volt and its dimension is [ML2T-3A-1].
It is a scalar quantity.
Electric potential due to a point charge at a distance r is given by
v = 1 / 4π εo q / r
Properties :
The rate of change of potential with distance in electric field is called potential gradient.
Potential gradient = dV / dr
Its unit is V / m.
Relation between potential gradient and electric field intensity is given by
E = – (dV / dr)
Equipotential surface is an imaginary surface joining the points of same potential in an electric field.
So, we can say that the potential difference between any two points on an equipotential surface is zero. The electric lines of force at each point of an
equipotential surface are normal to the surface.

Any group of electric lines of forces passing through a given surface, we call electric flux and it is denoted by φ.Electric flux over an area is equal to the total number of electric field lines crossing this area.
Electric flux through a small area element dS is given by
φE = E. dS
where E= electric field intensity and dS = area vector.
Its SI unit is N – m2C-1.
This law is the mathematical analysis of the relation
between the electric flux from a closed surface and its enclosed charge.
This law states that the total flux emerging out from a closed surface is equal to the product of sum of
enclosed charge by the surface and the constant 1 / εo
Mathematically Gauss’s law is written as:

If a charge q is placed at the centre of a cube, then
total electric flux linked with the whole cube = q / εo
electric flux linked with one face of the cube = q / 6 εo
Electric Field at Any Point on the Axis of a Uniformly Charged Ring
A ring-shaped conductor with radius a carries total charge Q uniformly distributed around it. Let us calculate the electric field at a point P that lies on the axis of the ring at distance x from its centre.

Ex = 1 / 4π εo * xQ / (x2 + a2)3/2
The maximum value of electric field
Ex = 1 / 4π εo (2Q / 3√3R2)
Electric Field due to a Charged Spherical Shell

(a) At an extreme point (r > R)
E = 1 / 4π εo q / r2
(b) At the surface of a shell (r = R)
E = 1 / 4π εo q / R2
(c) At an internal point (r < R)
E = 0
Electric Potential due to a Charged Conducting Spherical Shell

(a) At an extreme point (r > R)
V = 1 / 4π εo q / r
(b) At the surface of a shell (r = R)
V = 1 / 4π εo q / R
(c) At an internal point (r < R)
V = 1 / 4π εo q / R
Therefore potential inside a charged conducting spherical shell equal to the potential at its surface.
Electric Field and Potential due to a Charged Non-Conducting Sphere

At an extreme point, (r > R)

(v) Electric Field Intensity due to an Infinite Line Charge

E = 1 / 2 π εo λ / r
where λ is linear charge density and r is distance from the line charge.
Electric Field Near an Infinite Plane Sheet of Charge

E = σ / 2 εo
where σ = surface charge density.
If infinite plane sheet has uniform thickness, then
E = σ / εo
An electric dipole consists of two equal and opposite point charges separated by a very small distance. e.g., a molecule of HCL, a molecule of water etc.

Electric Dipole Moment p = q * 2 l
Its SI unit is ‘coulomb-metre’.
It is a vector quantity and its direction is from negative charge towards positive charge.
Electric Field Intensity and Potential due to an Electric Dipole
On Axial Line
Electric field intensity E = 1 / 4 π εo * 2 pr / (r2 – a2)2
If r > > 2a, then E = 1 / 4 π εo * 2 p / r3
Electric potential V = 1 / 4 π εo * p / (r2 – a2)

Ifr > > 2a, then V = 1 / 4 π εo * p / r2
On Equatorial Line
Electric field intensity E = 1 / 4 π εo * p / (r2 + a2)3 / 2

If r > > 2a, then E = 1 / 4 π εo * p / r3
Electric potential V = 0
At any Point along a Line Making θ Angle with Axis
Electric field intensity E = 1 / 4 π εo * p √1 + 3 cos2 θ / r3

Electric potential V = 1 / 4 π εo * p cos θ / (r2 – a2 cos2 θ)
If r > > 2a, then V = 1 / 4 π εo * p cos θ / r2
Torque
Torque acting on an electric dipole placed in uniform electric field is given by
τ = Ep sin θ or τ = p * E
When θ = 90°, then ‘τmax = Ep
When electric dipole is parallel to electric field, it is in stable equilibrium and when it is anti-parallel to electric field, it is in unstable equilibrium.
Work Done
Work done is rotating an electric dipole in a uniform electric field from angle θ1 to θ2 is given by
W = Ep (cos θ1 – cos θ2)
If initially it is in the direction of electric field, then work done in rotating through an angle θ, W = Ep (1 – cos θ).
Potential Energy
Potential energy of an electric dipole in a uniform electric field is given by U = – pE cos &theta.
Dipole in Non-uniform Electric Field
When an electric dipole is placed in a non-uniform electric field, then a resultant force as well as a torque act on it.
Net force on electric dipole = (qE1 – qE2), along the direction of greater e ecmc field intensity.
Therefore electric dipole undergo rotational as well as linear motion.
Two point charge system, contains charges q1 and q2 separated by a distance r is given by U = 1 / 4 π εo * q1q2 / r
Three point charge system

U = 1 / 4 π εo * [q1q2 / r1 + q2q3 / r2 + q3q2 / r3
Important Points
When charge is given to a soap bubble its size gets increased.
In equilibrium for a charged soap bubble, pressure due to surface tension
= electric pressure due to charging
4T / r = σ2 / 2 εo
or 4T / r = 1 / 2 εo (q / 4 πr2)2
or q = 8 πr √2 εo rT
where, r is radius of soap bubble and T is surface tension of soap bubble.
Behaviour of a Conductor in an Electrostatic Field
(i) Electric field at any point inside the conductor is zero.
(ii) Electric field at any point on the surface of charged conductor is directly proportional to the surface density of charge at that point, but electric potential does not depend upon the surface density of charge.
(iii) Electric potential at any point inside the conductor is constant and equal to potential.
Electrostatic Shielding
The process of protecting certain field from external electric field is called, electrostatic shielding.
Electrostatic shielding is achieved by enclosing that region in a closed metallic chamber.
A capacitor is a device which is used to store huge charge over it, without changing its dimensions.
When an earthed conductor is placed near a charged conductor, then it decreases its potential and therefore more charge can be stored over it.
A capacitor is a pair of two conductors of any shape, close to each other and have equal and opposite charges.
Capacitance of a conductor C = q / V
Its 81 unit is coulomb/volt or farad.
Its other units are 1 μ F = 10-6 F
1 μμ F = 1 pF = 10-12 F
Its dimensional formula is [M-1L-2T4A2].
Capacitance of an Isolated Spherical Conductor
C = 4 π εo K R

For air K = 1
∴ C = 4 π εo R = R / 9 * 109
Parallel Plate Capacitor
The parallel plate capacitor consists of two metal plates parallel to each other and separated by a distance d.
Capacitance C = KA εo / d
For air capacitor Co = A εo / d
When a dielectric slab is inserted between the plates partially, then its capacitance.

C = A εo / (d – t + t / K)
If a conducting (metal) slab is inserted between the plates, then
C = A εo / (d – t)
When more than one dielectric slabs are placed fully between the plates, then

The plates of a parallel plate capacitor attract each other with a force
F = Q2 / 2 A εo
When 9. dielectric slab is placed between the plates of a capacitor than charge induced on its side due to polarization of dielectric is
q’ = q (1 – 1 / k)
Capacitors Combination
In Series
Resultant capacitance = 1 / C = 1 / C1 + 1 / C2 + 1 / C3 + ….
In series charge is same on each capacitor, which is equal to the charge supplied by the source.
If V1, V2, V3,…. are potential differences across the plates of the capacitors then total voltage applied by the
source
V = V1 + V2 + V3 + ….
In Parallel
Resultant capacitance C = C1 + C2 + C3 + ….
In parallel potential differences across the plates of each capacitor is same.
If q1, q2, q3 are charges on the plate of capacitors connected in parallel then total charge given by the source
q = q1 + q2 + q3 + ….
Electric potential energy of a charged conductor or a capacitor is given by,
U = 1 / 2 Vq = 1 / 2 CV2 = 1 / 2 q2 / C
Redistribution of Charge
When two isolated charged conductors are connected to each other then charge is redistributed in the ratio of their capacitances.
Common potential V = q1 + q2 / C1 + C2 = C1V1 + C2V2 / C1 + C2
Energy loss = 1 / 2 C1C2 (V1 – V2)2 / (C1 + C2)
This energy is lost in the form of heat in connecting wires.
When n, small drops, each of capacitance C, charged to potential V with charge q, surface charge density σ and potential energy U coalesce to from a single drop.
Then for new drop
Total charge = nq
Total capacitance = nl/3C
Total potential = n2/3 V
Surface charge density = nl/3 σ
Total potential energy = n2/3 U
Van-de-Graaff Generator
It is a device used to build up very high potential difference of the order of few million volt.

Its working is based on two points
(i) The action of sharp points (corona discharge)
(ii) Total charge given to a spherical shell resides on its outer surface.
Lightning Conductor
When a charged cloud passes by a tall building, the charge on cloud passes to the earth through the building. This causes a damage to the building. Thus to protect the tall building lightning, the lightning conductors, (which are pointed metal roe passes over the charge on the clouds to earth, thus protecting building.
Thank You And Visit Phyeducate on YouTube
Others Class 12 Physics Chapters:-