Rishabh326

Units And Dimensions


What is Physics?


In simple term, Physics is the study of the nature and its surrounding.Everything in physical existence, from the smallest subatomic particles to the entire universe, is studied in physics.


The Greek term phusis, which means nature, is supposed to be the origin of the word physics. Later, the discipline of nature studies was known as natural philosophy. Natural philosophy covered a wide range of disciplines from antiquity through the Renaissance, including astronomy, biology, chemistry, mathematics, and medicine.


Physical Quantities(PQ)


The quantities can be measured by an instrument and used in laws of physics. Examples: mass, length, time,speed,force, velocity,temperature,momentum etc.


Fundamental PQ


These physical quantity are independent of other physical quantities.There are Seven Fundamental PQ as Length, Mass, Time, Electric current, Temperature,Luminous Intensity and Amount of substance. Fundamental PQ also known as base quantities.


Derived PQ


These physical quantity are dependent of fundamental physical quantities. For example; velocity, acceleration, force and many more.


Supplimentry PQ


Only Plane Angle and solid Angle are Supplimentry PQ.


Units


The quantity used as base for measurement of physical quantities is called unit or you can say known fixed physical quantity is called unit.


Types of unit:


1. Fundamental unit:


The unit which is independent of other units is known as fundamental unit. For example; kg, m, sec. etc.


2. Derived unit:


The unit which is derived from other units is known as derived unit. For example; kgm-3, ms-1 etc.


System of Units Length Mass Time
CGSCentimeterGramSecond
FPSFootPoundSecond
MKSMeterKilogramSecond


SI system of unit:


In 1960, the general conference of weight and measurement held in Paris gave a worldwide accepted system of unit is called SI system of unit.


Physical quantities and their units given by S.I. System of unit


Physical Quantities Unit Symbol
1. MassKilogramkg
2. LengthMeterm
3. TimeSecondS
4. TemperatureKelvinK
5. CurrentAmpereA
6. Luminous intensityCandelacd
7. Amount of substanceMolemol


Supplementary SI Units:


These are dimensionless units.


Physical Quantities Unit Symbol
Plane AngleRadianrad
Solid AngleSteradiansr


Coherent System


SI is a coherent system of units.


Meter: A meter is equal to 1650763.73 times the wavelength of the light emitted in a vacuum due to the electronic transition from 2p10 state to 5d5 state in Krypton-86. But in 1983, the 17th General Assembly of Weights and Measures adopted a new definition for the meter in terms of the velocity of light. According to this definition, a meter is defined as the distance travelled by light in a vacuum during a time interval of 1/299, 792, 458 of a second.


Kilogram: The mass of a cylinder of platinum-iridium alloy kept in the International Bureau of Weights and Measures preserved at Serves near Paris is called one kilogram.


Second: The duration of 9192631770 periods of radiation corresponding to the transition between the two hyperfine levels of the ground state of cesium-133 atoms is called one second.


Ampere: The current which, when flowing in each of two parallel conductors of infinite length and negligible cross-section and placed one meter apart in vacuum, causes each conductor to experience a force of 2 × 10-7 newtons per meter of length is known as one ampere.


Kelvin: The fraction of 1/273.16 of the thermodynamic temperature of the triple point of water is called Kelvin.


Candela: The luminous intensity in the perpendicular direction of a surface of a black body of area 1/600000 m2 at the temperature of solidifying platinum under a pressure of 101325 Nm-2 is known as one candela.


Mole: The amount of a substance of a system which contains as many elementary entities as there are atoms in 12 × 10-3 kg of carbon-12 is known as one mole.


Radian: The angle made by an arc of the circle equivalent to its radius at the centre is known as a radian. 1 radian = 57o17l45ll.


Steradian: The angle subtended at the centre by one square meter area of the surface of a sphere of radius one meter is known as steradian.


Dimension:


The dimension of a physical quantity is defined as the power raised to the fundamental quantities to express the physical quantity.


Dimensional formula:


It is defined as the expression of physical quantity in terms of fundamental physical quantity with proper dimension. The dimensional formula of mass, length, time, temperature and current are [M], [L], [T], [K] & [A] respectively.


Types of physical quantities:


Physical quantities may be variables or constants. They may or may not have dimension.


(i) Dimensional variable:


These are the quantities which are variable and have dimensions as well. For example; velocity, momentum, force etc.


(ii) Dimensional constants:


These are the quantities which have constant values and yet have dimensions. For example; gravitational constant, coefficient of viscosity, Planck’s constant, velocity of light etc. Their numerical value does not change.


(iii) Non-dimensional Variables:


These are variable quantities and have no dimensions. For example; specific gravity, strain, angle etc. They are typically ratio of two similar physical quantities.


(iv) Dimensionless constants:


These are numbers like 2, 3, 4, pi. The numerical value of dimensionless physical quantities remains unchanged in any system of units.


Dimensional equation:


The equation of physical quantities expressed in terms of their dimensional formula is called dimensional equation.


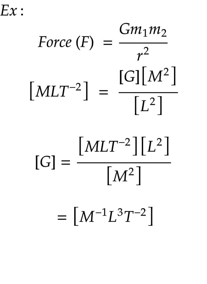
Application of Dimension Analyssis(DA)


1.Homogeneity:


In correct physical formula the dimensions of physical quantity on L.H.S. is equals to that on R.H.S. And Two physical quantities can be added or subtracted only when their dimensions are same.


10 Orange + 10 Apple = 10 Orange + 10 Apple
10 Orange + 10 Orange = 20 Orange


Homogeneity

2.To Find Dimension of Constant:


Constant

3.Conversion:


Using dimension Analyssis you can convert one unit to another unit.
Magnitude = numerical value * unit
= nu From experiment it found that nu = constant
means n1u1 = n2u2


unit conversion

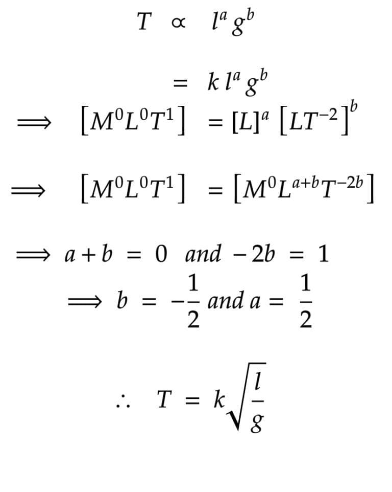
4.To Derive relation between different physical quantities:


For example let say that time period pendulum will deppens on length of pendulum and acceleration due to gravity.


dimension

★★★


Trigonometry function , exponential function and logrithemic function are dimensionless.


Limitation of Dimension Analyssis


1.Value of the constant can not be measured.(Application 4).
2.dimensionally correctness does not means physically correctness
3.Using DA maximum variable can be solved is 3.


Watch Full Video Lecture of Units And Dimensions


Thank You And Visit Phyeducate on YouTube




Others Class 11 Physics Chapters:-



Top↑